Why CUHK-Shenzhen? | From Mathematics Student's Perspective
? ? ? ?
SSE, Shaw College
?Pure Mathematics Student
? ? ? ?

? ? ?
? ? ? ?
Mathematics: art of freedom
?
Studying Pure Mathematics at CUHK-Shenzhen is both challenging and rewarding. The University offers a number of "beautiful" mathematics electives where we can feel the beauty of geometry in complex variable function, and appreciate the charm of concrete mathematics in differential equations. What impressed me the most was the information theory course which mathematically defined the measure of information. Without the support of information theory, there will be no modern communication coding.
?
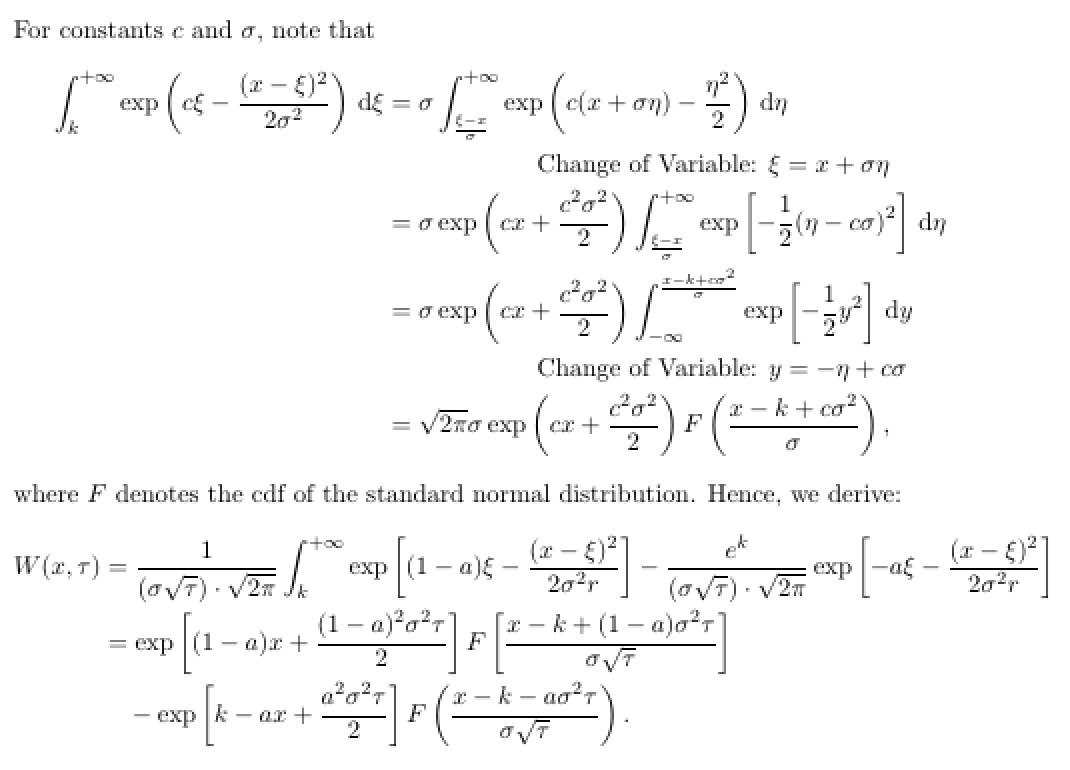
In the second year, I studied a series of courses on differential equations. It is indispensable to practice and master a large number of calculations in this process. The calculation in the figure below is the epitome of the partial differential equation.
?

? ? ? ?
Studying Partial differential equations require massive calculations
?
Differential equations are one of the core issues of theoretical mathematics. However, beyond theory, there are many applications in life. For example, Li Xiaopeng, Guo Xiaohan and I used a partial differential equation to solve the problem of heat diffusion in industrial applications at a college mathematics modeling competition in 2018.
?
Another course that impressed me was information theory. In Shannon's eyes, bits are the units in which information can be measured. In this course, we were guided to study framework and development direction of communication systems. I realized that without the support of information theory, there will be no modern communication coding. Encouraged by this course, I decided to follow Professor Yang Shenghao to do research on the frontier information theory.
?
General education for greater possibilities
?
General education can provide more possibilities for the future development of students. CUHK-Shenzhen, in addition to providing professional courses, offers a wide range of general education courses for students. For example, mathematics students are required to take courses in humanities, biology, and chemistry at the undergraduate level. These courses are eye-opening and inspiring. For instance, Prof. David Tse, Academician of the USA National Academy of Engineering has once solved a human sequencing problem in biology using a method of data science.
?
We should pursue a wide range of knowledge at the University for an insight into new knowledge.
?
Accumulating research experience from undergraduate
?
Participating in research projects can help prepare for the future postgraduate studies. Students who are interested in research can actively seek opportunities from their professors to join the projects. After the summer vacation of the freshman year, I started doing research in the University's network coding lab. I did some theoretical proof of coding theory, which usually requires a lot of thinking. And then I applied the theoretically proven coding framework to the real project. I spent a lot of my spare time after class doing research in the lab, which trained me in a way that is different from studying in class.
?
Studying for a doctorate for future research
?
From my perspective, capable students can take doctoral elective courses or courses offered for both undergraduates and postgraduates, such as matrix analysis, optimization, and machine learning, to develop the research ability. Generally speaking, these courses cover both basic knowledge and advanced content for students to explore. During my second and third year, I took two challenging doctoral courses in information theory and optimization. The professors left many valuable questions in class, to deepen students’ understanding of related knowledge and inspire them to discover their research interests.
?
I was deeply impressed by the optimization theory and algorithm course numbered CIE6010 taught by Professor Zhang Yin, Co-Director of Institute for Data and Decision Analytics (iDDA). When he explained Nesterov’s method, he introduced the first order optimization method invented by him. Later on during the practice I found this method runs faster than Nesterov's optimal first order method for almost all instances, but the reasons or insights behind this phenomenon still remain to be discovered.
? ? ? ?
Related News:Sophomore’s Paper Accepted by IEEE International Symposium on Information Theory 2018
Interviewed by Wang Jie (2016 SSE Shaw College)
